近期,公司yl6809永利运动康复专业2020级本科生曾照宏以第一作者身份在医学TOP期刊《Frontiers in Physiology》(IF=4.0, JCR Q1)上发表题为《Effects of various hyperopia intervention levels on male college students’ gait kinematics》的研究论文(Front. Physiol.202314:1161711)。王会会博士为本论文的指导老师,该项研究得到了国家级创新项目和贵州省科技厅基础研究计划等项目的资助。
论文链接:https://www.frontiersin.org/articles/10.3389/fphys.2023.1161711/full

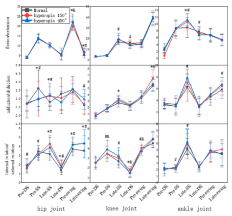
该研究揭示了不同程度远视干预下男性老员工步态的重心变化、周期占比、关节活动角度等运动学特征,探究不同程度远视干预对男老员工步行姿势控制的影响,为远视对步态的影响提供理论依据,并有望从运动生物力学的角度解决因视觉因素而引起步态姿势控制异常的科学难题。(审核:一审唐溢、杜娟,二审杨清玉,三审李均;图文:yl6809永利)